Σε θέση μάχης έχει βρεθεί η Ευρωπαϊκή Ένωση για να απαντήσει στον εμπορικό πόλεμο που εξαπέλυσε ο πρόεδρος των Ηνωμένων Πολιτειών της Αμερικής, Ντόναλντ Τραμπ. Οι δασμοί που επέβαλε στις περισσότερες χώρες του πλανήτη, με εξαίρεση κράτη, όπως η Ρωσία, προκαλούν αλυσιδωτές αντιδράσεις, τόσο σε οικονομικό, όσο και σε πολιτικό επίπεδο.
Όπως δήλωσε χαρακτηριστικά η πρόεδρος της Ευρωπαϊκής Επιτροπής Ούρσουλα φον ντερ Λάιεν, η ΕΕ, παρόλο που δεν το επιθυμεί, είναι έτοιμη να αντεπιτεθεί, με τους Ευρωπαίους να έχουν ήδη πληγεί από τελωνειακούς δασμούς σε χάλυβα και αλουμίνιο (25% ανακοινώθηκε στις 10 Φεβρουαρίου) και στη συνέχεια σε αυτοκίνητα και ανταλλακτικά (25% ανακοινώθηκε στις 26 Μαρτίου).
Γιατί οι ΗΠΑ επιβάλλουν δασμούς στην ΕΕ, συνολικά, και όχι στα κράτη – μέλη της;
Η ΕΕ κατάργησε τους δασμούς μεταξύ των κρατών μελών της όταν δημιουργήθηκε η τελωνειακή ένωση το 1968. Τα εμπορεύματα που εισάγονται στην ΕΕ από τον υπόλοιπο κόσμο υπόκεινται σε δασμούς που ακολουθούν τους κανόνες και τις αρχές του Παγκόσμιου Οργανισμού Εμπορίου. Σε αυτό το πλαίσιο η ΕΕ έχει τη μεγαλύτερη ενιαία αγορά στον κόσμο με 450 εκατομμύρια πολίτες.
Στην πράξη, η τελωνειακή ένωση σημαίνει ότι οι τελωνειακές αρχές και των 27 κρατών – μελών της ΕΕ εργάζονται μαζί σαν να ήταν μία αρχή. Εφαρμόζουν τους ίδιους δασμούς στα προϊόντα που εισάγονται στην επικράτειά τους από τον υπόλοιπο κόσμο, και δεν επιβάλλουν δασμούς στο εσωτερικό της. Παράλληλα, βάσει της Κοινής Εμπορικής Πολιτικής, τα κράτη μέλη έχουν αποδεχθεί ότι οι εμπορικές σχέσεις της ΕΕ με τρίτες χώρες είναι αποκλειστική αρμοδιότητα της Ευρωπαϊκής Επιτροπής και όχι των εθνικών κυβερνήσεων. Ο λόγος ήταν (και παραμένει), η ΕΕ να έχει ως, σύνολο, μεγαλύτερη διαπραγματευτική ισχύ έναντι των τρίτων χωρών.
Γιατί επιβλήθηκαν τώρα οι δασμοί στην ΕΕ;
Η πρόθεση του προέδρου των ΗΠΑ να επιβάλει δασμούς στην ΕΕ δεν είναι κάτι καινούργιο,. Ήδη από την πρώτη του θητεία, ο Ντόναλντ Τραμπ είχε ξεκινήσει τις διαδικασίες, όταν και επέβαλε δασμούς στον χάλυβα και το αλουμίνιο της ΕΕ, στους οποίους η ΕΕ ανταπέδωσε με δασμούς σε αμερικανικά προϊόντα περίπου 3,3 δισ. δολαρίων. Ωστόσο, τότε, (σ.σ. το 2019) η Ευρωπαϊκή Επιτροπή είχε στην προεδρία της έναν πραγματικό «δεινόσαυρο» της ευρωπαϊκής πολιτικής, ο οποίος ήταν παρών στην υπογραφή της Συνθήκης του Μάαστριχτ αλλά και στην πρώτη εκλογή Τραμπ. Ο λόγος για τον Ζαν – Κλοντ Γιούνκερ ο οποίος μετέβη επί τούτου στον Λευκό Οίκο και κατάφερε να επιβάλει μια προσωρινή «ανακωχή» ανάμεσα σε Ουάσιγκτον και Βρυξέλλες.
Πώς υπολόγισε η κυβέρνηση Τραμπ τους δασμούς που επέβαλε στην ΕΕ (αλλά και διεθνώς)
Παρά τις δηλώσεις της αμερικανικής κυβέρνησης ότι πρόκειται για «ανταποδοτικούς» δασμούς, στην πράξη πρόκειται για μια τιμωρητική πολιτική που έχει ως βασικό στόχο (αλλά σύμφωνα με ευρωπαϊκές πηγές ενδεχομένως όχι μόνο….) να μειώσει το εμπορικό έλλειμμα των Ηνωμένων Πολιτειών. Η εξίσωση υπολογισμού που χρησιμοποίησε η αμερικανική κυβέρνηση φάνηκε αρχικά περίπλοκη στους μη έχοντες γνώση, αλλά για τους ειδήμονες είναι σχετικά απλή.
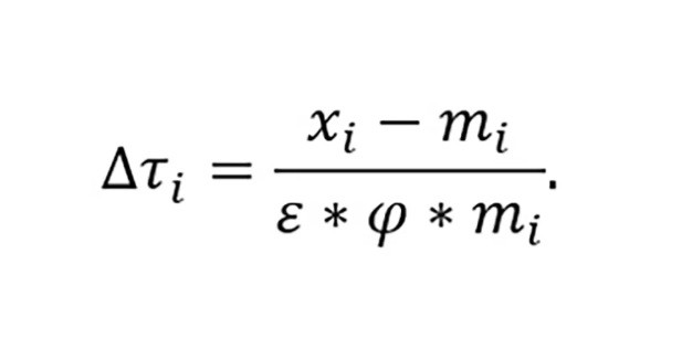
Ποια είναι αυτή εξίσωση;
Οι δασμοί (Δτ1) υπολογίζονται ως εξής. Εισαγωγές στις ΗΠΑ από μία Α χώρα (m_i) . Εξαγωγές από τις ΗΠΑ στην ίδια χώρα (x_i): Διμερές εμπορικό έλλειμμα (m_i – x_i /2) ∆τ_i (δηλαδή οι δασμοί) είναι το αποτέλεσμα. Με λίγα λόγια, το εμπορικό έλλειμμα για τις ΗΠΑ σε αγαθά με μια συγκεκριμένη χώρα, διαιρείται με το σύνολο των αγαθών που εισάγονται από αυτήν τη χώρα και, στη συνέχεια, το πηλίκο διαιρείται με το δύο. Ωστόσο αυτές οι τιμές εστιάζουν στο εμπόριο αγαθών και όχι υπηρεσιών, οι οποίες (σ.σ υπηρεσίες) θα μπορούσαν να αυξήσουν ελαφρώς το έλλειμμα. Την ίδια ενώ υφίστανται και άλλες παράμετροι, οι οποίες δεν αφορούν στην ΕΕ και για αυτόν το λόγο οι ΗΠΑ επέβαλαν δασμούς σε νησιά στα οποία κατοικούν μόνο πιγκουίνοι…
Γιατί το 20% στην ΕΕ;
To 2024 η ΕΕ κατέγραψε εμπορικό πλεόνασμα σε σχέση με τις ΗΠΑ κατά 235,6 δισ. δολάρια, ενώ τα συνολικά αγαθά που εισάγουν οι ΗΠΑ έφθασαν τα 605,8 δισ. δολάρια. Σύμφωνα με τον αμερικανικό υπολογισμό, οι δασμοί στην ΕΕ θα έπρεπε να αγγίξουν περισσότερο από το 38%. Διαιρεμένος κατά 50% και με στρογγυλοποίηση κατέληξε στο το 20%.
Ποια κράτη – μέλη της ΕΕ κερδίζουν και ποια χάνουν από την «ομπρέλα» των αμερικανικών δασμών στο 20%
Στο πλαίσιο της Κοινής Εμπορικής Πολιτικής της ΕΕ, τα κράτη – μέλη επωφελούνται αλλά και ζημιώνονται αμοιβαία. Με βάση την εξίσωση που χρησιμοποίησε η αμερικανική κυβέρνηση, η Ελλάδα αλλά και η Γαλλία βρίσκεται μέσα στους «χαμένους». Η χώρα μας, όσο και αν φανεί περίεργο, καταγράφει εμπορικό πλεόνασμα με τις ΗΠΑ περίπου 268 εκατ. δολαρίων, καθώς εξάγουμε περισσότερα στις ΗΠΑ από όσα εισάγουμε απο αυτές. Το ίδιο ισχύει και για τη Γαλλία, η οποία το 2014 κατέγραψε εμπορικό πλεόνασμα ύψους 83 δισ. δολαρίων με τις ΗΠΑ. Ωστόσο οι δύο χώρες θα ήταν αντιμέτωπες με δασμούς 10% (Ελλάδα) και 13,55% (Γαλλία), εάν δεν αποτελούσαν κράτη – μέλη της ΕΕ. Η Γερμανία με περίπου 70 δισ. εμπορικό πλεόνασμα θα αντιμετώπιζε την επιβολή δασμών ύψους 25,1%, ενώ η μεγάλη ηττημένη θα ήταν η Ιταλία, η οποία εάν δεν ήταν μέλος της ΕΕ, η Ουάσιγκτον θα μπορούσε να της επιβάλει δασμούς μέχρι και 31,8%.
Πόσα χρήματα κερδίζει η ΕΕ από τους τελωνειακούς δασμούς και που τους επιβάλει;
Οι τελωνειακοί δασμοί που καταβάλλονται για εμπορεύματα που εισάγονται στην ΕΕ αντιστοιχούν στο 14% περίπου του συνολικού προϋπολογισμού της ΕΕ ως μέρος των «παραδοσιακών ιδίων πόρων» της. Όσον αφορά στους δασμούς, η Ευρωπαϊκή Ένωση ακολουθεί τις αρχές και τους κανόνες που έχει θεσπίσει ο Παγκόσμιος Οργανισμός Εμπορίου (ΠΟΕ), του οποίου είναι μέλος από το 1995.
Όλα τα κράτη μέλη της ΕΕ αποτελούν επίσης μέρος του ΠΟΕ από μόνα τους. Μία από τις κύριες αρχές του ΠΟΕ είναι γνωστή ως μεταχείριση του πλέον ευνοούμενου έθνους . Αυτό σημαίνει ότι οι χώρες δεν μπορούν κανονικά να κάνουν διακρίσεις μεταξύ των εμπορικών τους εταίρων. Επιτρέπονται ωστόσο ορισμένες εξαιρέσεις, λόγου χάρη για εισαγόμενα προϊόντα που αποτελούν αντικείμενο αθέμιτου ανταγωνισμού από συγκεκριμένες τρίτες χώρες.
Πώς ετοιμάζεται να απαντήσει αρχικά η ΕΕ;
Σύμφωνα με πηγές από τις Βρυξέλλες, οι δασμοί που επέβαλε η κυβέρνηση Τραμπ υπολογίζονται άμεσα στα 26 δις ευρώ, ενώ η ΕΕ, μαζί με άλλους βασικούς εμπορικούς εταίρους όπως ο Καναδάς και το Μεξικό, επηρεάζεται περισσότερο. Σύμφωνα πάλι με τις ίδιες πηγές, η ΕΕ θα επιβάλει αντίμετρα στις ΗΠΑ τα οποία θα αφορούν σε χάλυβα και αλουμίνιο αλλά και μία σειρά από άλλα προϊόντα, όπως «ξηροί καρποί, χυμοί, κράνμπερι, μπέρμπον, βάρκες, και μηχανές θαλάσσης, μοτοσικλέτες και υφάσματα». Όπως αναφέρουν οι εν λόγω πηγές της Ευρωπαϊκής Επιτροπής, το εκτελεστικό όργανο της ΕΕ επεξεργάζεται έναν κατάλογο αμερικανικών αγαθών που θα υπόκεινται, υπό προϋποθέσεις, σε ανταποδοτικούς δασμούς ύψους 21 δισ. ευρώ.
Πηγή: newmoney.gr
- Διαβάστε επίσης: «Το 20% είναι μόνο η αρχή» - Δεν θα μείνει αλώβητη η Κύπρος


